标签ad报错:该广告ID(10)不存在。

线下课程

您所在的位置: 首页 > 备考资料 > 历年真题 > 2019年考研数学二真题下载

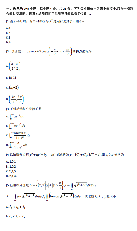
2019年考研数学二真题下载

更新时间:2025-11-29 来源:四川新文道 在线客服 考研封闭集训营

四川新文道考研为大家整理了“2019年考研数学二真题下载”的相关信息,希望对正在进行考研备考的你有所帮助。随着考研报考人数逐年增加,报录比、国家线也在大幅提升,如何才能考上理想院校?新文道考研集训营采用封闭式、全日制、寄宿制的小班授课模式,全程大咖讲师面授,面对面答疑解惑,一起来关注一下吧~

免责声明:本站所提供的内容部分来源于网络搜集整理,由本站编辑上传,仅供个人研究、交流学习使用,不涉及商业盈利目的。如涉及版权问题,请联系本站管理员予以更改或删除。

关键字: 【责任编辑:小编】
距离2025考研还剩
标签guestbookform报错:该栏目下没有新增留言字段。